引言
非對稱外雙溝形環件是一種外表面帶有特殊截面輪廓的異形截面環件,在航空航天、能源、汽車等領域具有廣泛應用[1-3],如運載火箭推進劑貯箱的過渡環、發動機機匣等關鍵部件。這些部件不僅要求具有高強度、高韌性等優良力學性能,還要求具有復雜的截面形狀以滿足特定的裝配和功能需求[4]。但是,由于模具設計和軋制過程中材料流動分配等因素[5],會造成非對稱外雙溝形機匣環鍛件上下端出現內徑差過大的問題。目前針對異形截面環件的軋制成形,各學者提出了坯料優化設計方法[6-8],緩解因金屬軸向和周向流動不匹配產生的小端拉縮等缺陷;通過對軋制過程中各輥的工藝參數進行設計并優化[9-11],改變環件產生的圓度差、填充不足等問題。對整個軋制成形工藝采用數值模擬分析[12-14],確定最終的工藝參數選擇區間與工藝方案的可行性。MOUSSAG等[15]研究內溝槽輪轂環件時開發出利用簡單截面環坯多階段軋制得到復雜截面環件的軋制方法。現有的異形環件軋制工藝研究能通過毛坯優化解決環件軋制成形過程填充不足和圓度等問題,但對于環件上下端出現內徑差過大的問題并未做過多研究。針對該問題的傳統解決方法大多是通過額外增加機加工余量來解決非對稱外雙溝環鍛件出現上下端內徑差過大的問題,并不能從根源上防止環鍛件出現上下端內徑差過大的問題。結合以上學者的研究,本文提出的關于TC4非對稱外雙溝形機匣環件的軋制成形工藝可以控制環件產生上下端內徑差過大的缺陷,并將其控制在1.5mm以內,能極大地提高材料利用率、降低制造成本、優化產品性能。
1、鍛件結構與成形工藝
根據零件形狀,設計的TC4非對稱外雙溝形機匣環鍛件形狀如圖1所示。目標鍛件重為177.6kg,鍛件表面有2個凹槽,且最薄壁厚度為22.5mm,寬凹槽寬度為64mm,窄凹槽寬度為45mm,為非對稱的回轉體薄壁件。

根據以上情況,本文針對該鍛件的成形設計了如下工藝流程,方案采用鐓粗→沖孔→馬架擴孔→軋制內錐形截面環→軋制非對稱外雙溝形截面環。
本文針對成形工藝流程中比較關鍵的工步(軋制非對稱外雙溝形截面環)進行分析,成形工藝的難點主要在若直接利用矩形截面環件軋制成形,由于鍛件兩凹槽的不對稱,會導致環件產生較大的上下端內徑差,最終呈現寬凹槽端環件內外徑尺寸偏大、小凹槽端環件內外徑尺寸偏小的情況。
2、成形缺陷及優化方案
對矩形環坯軋制非對稱外雙溝形截面環階段進行軋制成形數值模擬分析,具體的軋制工藝參數如表1所示。
表1軋制工藝參數
| Parameters | Value |
| Working diameter of drive/mm | Φ530 |
| Diameter of core/mm | Φ180 |
| Diameter of guide/mm | Φ480 |
| Angle of cone/(°) | 32 |
| Temperature of ring/℃ | 950 |
| Initial temperature of roll/℃ | 200 |
| Speed of drive/(rad·s-1) | 1.33 |
| Friction factor between ring and drive | 0.3 |
| Friction factor between ring and cone | 0.3 |
提取數值模擬結果中環件的上下端內外表面周長,等效計算得到環件的內外徑如表2所示,由表2可知,環件的壁厚基本均勻,而環件的外表面相對復雜,故該缺陷的偏差值通過上下端的內徑差計算獲得,為9.6mm。為了控制該缺陷的產生,對軋制用環坯進行優化設計,并對驅動輥和芯輥進行合理的參數化設計。
表2矩形環坯軋制目標鍛件的成形結果(mm)
| Parameters | Upper end | Lower end |
| Outside diameter | Φ1360 | Φ1340.6 |
| Inner diameter | Φ1248.6 | Φ1229.4 |
| Thickness Thickness | 55.7 | 55.6 |
| Deviation value 9.6 |
2.1內錐形截面環設計
根據 TC4非對稱外雙溝形機匣環鍛件尺寸圖(圖 2),Dk=Φ1475 mm,dk=Φ1370 mm,Hk=223 mm, hk=30 mm, Rk=22.5 mm, bk1=64 mm, bk2=45 mm,利用逆向軋制成形的設計思路將軋制用環坯設計成內錐形截面環,以補償環件在軋制過程中材料流動分配的不合理,并將 TC4非對稱外雙溝形機匣環鍛件沿軸向方向分為①~⑤這5個區域。

通過計算每個區域的體積,由非對稱外雙溝形機匣環鍛件最大外徑Dk與當量軋制比 k(1.2~2.0),計算出內錐形截面環外徑D0=Dk/k。確定內錐形截面環后,因為軋制前后環件高度不變,可同樣沿軸向方向將環件分為①~⑤這 5個區域,如圖 3所示,即可以通過各區域體積相等得到內錐形截面環的內錐度w0。

最后通過軋制前后體積不變的原則,獲得內錐形截面環示意圖,如圖4所示。

其中:

式中: V為非對稱外雙溝形機匣環鍛件的體積。取當量軋制比 k = 1.3,通過計算可得D0= Φ1100 mm,w0=2mm, d01=Φ990 mm, d02=Φ994 mm。
2.2模具優化設計
驅動輥示意圖如圖 5所示,驅動輥采用專用的異形驅動輥,外形貼合非對稱外雙溝形機匣環鍛件的截面形狀,同時加裝上下擋板,可與芯輥構成閉式軋制以防止環件在軋制過程中上下竄動,提高軋制穩定性。

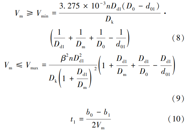
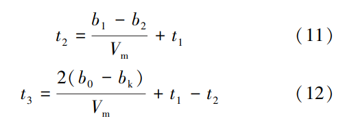
驅動輥工作面的最大直徑 D d1 、最小直徑 D d2 以及芯輥工作面直徑 D m 由以下公式確定:

式中: h k 為非對稱外雙溝形機匣環鍛件凹槽深度; R k 為非對稱外雙溝形機匣環鍛件凹槽圓角; b k1 、b k2 分別為非對稱外雙溝形機匣環鍛件大凹槽和小凹槽寬度; β為摩擦角, β = arctan μ, μ為摩擦因數,值為 0.1 ~ 0.4; L max 和 L min 分別為軋環機允許的最大和最小閉合中心距。
2.3芯輥進給曲線設計
內錐形截面環軋制非對稱外雙溝機匣環鍛件的過程中每個區域的體積變化曲線圖如圖 6所示。②和④區域的體積在環件外徑由 D 0 軋制到 D 1 的過程中急劇減小,②區域的體積補償到①和③區域,④區域的體積會補充到③和⑤區域,呈現出中間區域③體積最大,故而在軋制前期 (0 ~ t 1 ) s可以線性增大芯輥的進給速度。

環件外徑由 D 1 軋制到Dk時,所有區域的體積均在環件軋制到 D 3 時達到最值,故在 D 1 軋制到 D 3 的階段即 (t 1 ~ t 2 )可將芯輥的進給速度設置成定值,保證環件的平穩軋制。
在 D 3 軋制到Dk的階段即 (t 2 ~ t 3 )進行芯輥進給速度的降速,軋制逐漸結束,得到芯輥進給曲線。
芯輥進給速度 V m 滿足:


式中: V max 和 V min 分別為最大和最小進給速度; b 0 為環徑外徑為 D 0 時的壁厚, b0= (D0-d0 ) /2; b1為環徑外徑為 D1時的壁厚, b1=(D1-d1 )/2; bk為環徑外徑為Dk時的壁厚, bk =(Dk-d k )/2,由此可以獲得合理的芯輥進給速度曲線,如圖 7所示。

通過以上的缺陷控制方法,進行內錐形截面環軋制非對稱外雙溝形機匣環鍛件的數值模擬計算,有限元模型裝配示意圖如圖 8所示,為了提高運算效率,同時保證模擬的準確性,網格數量設置為 58569個,網格類型為 C3D8RT,軋制相關工藝參數同表 1。

圖 9為內錐形截面環軋制成形和矩形截面環軋制成形的模擬結果對比圖,可以看到通過內錐形截面環坯軋制而成的目標環鍛件其上下端內徑差過大的缺陷得到了有效控制,通過數據處理分析,得到其內徑差值為 1.5 mm。

后期采用該缺陷控制方法進行了TC4非對稱外雙溝形環鍛件軋制,生產出符合企業要求的環鍛件,通過后續測量,得到環件的上下端內徑差為 1mm,鍛件的實物圖如圖 10所示。

3、結論
(1)針對矩形環坯軋制 TC4非對稱外雙溝形環鍛件軋制過程中上下端內徑差過大的問題,提出了基于材料流動分配反饋的優化軋制用環坯控制方法。
(2)進行了優化驅動輥設計,使其與芯輥組合構成閉式軋制,創建了合理的芯輥進給速度曲線,防止TC4非對稱外雙溝形環鍛件軋制過程中環件的上下竄動造成軋制的不穩定性以及金屬軸向流動不均。
(3)開展了TC4非對稱外雙溝形環鍛件軋制仿真結果的對比,結果表明采用內錐形截面環坯與優化驅動輥及芯輥的參數可以有效地控制上下端內徑差過大的問題,減小了84%。
(4)利用本文提出的缺陷控制方法,完成了TC4非對稱外雙溝形環鍛件的軋制,上下端內徑差值與模擬吻合,得到了符合企業要求的環鍛件。
參考文獻:
[1]華林,黃興高,朱春東.環件軋制理論和技術[M].北京:機械工業出版社,2001.
[2]ALLWOOD J M, TEKKAYA A E, STANISTREET T F. The de-velopment of ring rolling technology-Part 2: Investigation of process behaviour and production equipment[J]. Steel Research Interna-tional,2005,76(7):491-507.
[3]郭良剛,王鳳琪,梁磊,等.高性能環件輾軋成形智能仿真優化新思路與研究進展[J].精密成形工程,2017,9(4):1-11.
GUO Lianggang, WANG Fengqi, LIANG Lei, et al. New idea and advances in intelligent simulation and optimization of high-per-formance ring rolling process[J]. Journal of Netshape Forming Engineering,2017,9(4):1-11.
張茂.面向通用飛機裝配過程的數字孿生技術應用研究[D].石家莊:河北科技大學,2019.
ZHANG Mao. Research on digital twin for the generalaircraft as-sembly process[D]. Shijiazhuang: Hebei University of Science and Technology, 2019.
[5]郝曉斐,雷君相.圓柱體鐓擠復合變形規律研究[J].有色金屬材料與工程,2016,37(5):212-218.
HAO Xiaofei, LEl Junxiang. Cylinder upsetting extrusion compos-ite deformation law study[J]. Nonferrous Meaterials and Engi-neering,2016,37(5):212-218.
[6]PARK M, LEE C, LEE J, et al. Development of L-sectioned ring for construction machines by profile ring rolling process[J]. In-ternational Journal of Precision Engineering and Manufacturing,2016,17(2):233-240.
[7]OH I Y, HWANG T W, YOO Y, et al. Process-induced de-fects in an L-shape profile ring rolling process[J]. International Journal of Material Forming, 2019, 12(4):727-740.
[8]彭謙之,李建軍,余三山,等.毛坯截面形狀對L形截面異形環件軋制成形的影響[J].熱處理技術與裝備,2016,37(4):30-33.
PENG Qianzhi, Ll Jianjun, YU Sanshan, et al. The effects of section shape of blank on the rolling process of L-section profiled ring[J]. Heat treatment Technology and Equipment, 2016, 37(4):30-33.
[9]羊冠立,錢東升,田漢,等.基于表面平整度控制的超大型環件軋制曲線自優化方法研究[J].塑性工程學報,2025,32(1):92-99.
YANG Guanli, QIAN Dongsheng, TIAN Han, et al. Study on self-optimized method of rolling curve based on surface flatness control for super large rings[J]. Journal of Plasticity Engineer-ing,2025,32(1):92-99.
[10]史志起,丁浩,時禮平,等.大型40Cr13環件徑-軸向軋制進給曲線設計方法研究[J].塑性工程學報,2023,30(11):54-59.
SHI Zhiqi, DING Hao, SHI Liping, et al. Study on design method of radial-axial rolling feed curves for large 40Cr13 ring[J]. Journal of Plasticity Engineering, 2023, 30(11): 54-59.
[11]趙博志,鄧加東,錢東升,等.面向大型環件徑軸向穩定高效軋制的變形過程規劃方法研究[J].塑性工程學報,2023,30(9):9-16.
ZHAO Bozhi, DENG Jiadong, QIAN Dongsheng, et al. Research on radial-axial deformation process planning method for large ring rolling with stability and high efficiency[J]. Journal of Plasticity Engineering,2023,30(9):9-16.
[12]裴蒙蒙,齊會萍.基于Simufact模擬的復雜異形截面環件輾擴變形[J].鍛壓技術,2024,49(9):92-98.
PEI Mengmeng, QI Huiping. Ring rolling deformation of complex irregular section ring based on Simufact simulation[J]. Forging&Stamping Technology,2024,49(9):92-98.
[13]徐煥磊,孫寶壽,袁佳耀,等.非對稱異形截面環件的冷輾擴成形力能參數與圓度影響規律研究[J].寧波大學學報(理工版),2021,34(2):61-67.
XU Huanlei, SUN Baoshou, YUAN Jiayao, et al. The impact of force parameters on roundness of cold ring rolling of asymmetric
abnormal cross-section ring[J]. Journal of Ningbo University(Science and Engineering Edition),2021,34(2):61-67.
[14]蔣起臣,陳浩,馮吉威,等.含突變曲線異形環件軋制工藝[J].鍛壓技術,2019,44(7):101-105.
JIANG Qichen, CHEN Hao, FENG Jiwei, et al. Rolling process for profiled rings with abrupt curve[J]. Forging& Stamping Technology,2019,44(7):101-105.
[15] MOUSSA G, HAWKYARD J B. Investigation into the multi-stage ring rolling of aluminum bicycle wheel rims[J]. International Journal of Mechanical Sciences, 1986,(12): 841-851.
(注嗎,原文標題:TC4非對稱外雙溝形機匣環件軋制內徑差工藝控制研究)
無相關信息